Creating and Using Spectrum Objects

SOXS provides a way to create common types of spectra that can then be used in your scripts to create mock observations via the Spectrum object.

Spectrum Binning

The energy binning of spectral tables can be either linear or log–that is, either the difference between the minimum and maximum energies of each bin is constant across the spectrum (linear) or that the difference between the logarithm of the minimum and maximum energies of each bin is constant across the spectrum (log).

For most of the spectrum creation methods outlined below, there will be the following keyword arguments to control the binning of spectral tables:

  • emin: The minimum energy of the spectral table in keV.

  • emax: The maximum energy of the spectral table in keV.

  • nbins: The number of bins in the spectrum.

  • binscale: An optional argument which takes either "linear" or "log". The default is always "linear".

Creating Spectrum Objects

A Spectrum object is simply defined by a table of energies and photon fluxes. There are several ways to create a Spectrum, depending on your use case.

Creating a Constant Spectrum

A simple constant spectrum can be created using the from_constant() method. This takes as input the value of the flux const_flux, which is in units of \({\rm photons}~{\rm cm}^{-2}~{\rm s}^{-1}~{\rm keV}^{-1}\). The parameters emin, emax, nbins, and binscale are used to control the binning.

const_flux = 1.0e-7
emin = 0.1
emax = 10.0
nbins = 20000
spec = Spectrum.from_constant(const_flux, emin, emax, nbins, binscale="linear")

Creating a Power-Law Spectrum

A simple power-law spectrum can be created using the from_powerlaw() method. This takes as input a spectral index photon_index, a redshift redshift, and a normalization of the source norm at 1 keV in the source frame, in units of \({\rm photons}~{\rm cm}^{-2}~{\rm s}^{-1}~{\rm keV}^{-1}\). Mathematically, this is equivalent to:

\[F_E = K\left[\frac{E(1+z)}{{\rm 1~keV}}\right]^{-\alpha}\]

where \(\alpha\) is the photon_index (note the sign convention). The parameters emin, emax, nbins, and binscale are used to control the binning.

You can set up a power-law spectrum like this:

alpha = 1.2
zobs = 0.05
norm = 1.0e-7
emin = 0.1
emax = 10.0
nbins = 20000
spec = Spectrum.from_powerlaw(alpha, zobs, norm, emin, emax, nbins, binscale="log")

Generating a Spectra from a Thermal Model

There are a number of ways in SOXS to generate Spectrum objects from thermal emission models. To find out how, check out Generating Thermal Spectra.

Generating a Spectrum from a Charge Exchange Model

To find out how to generate Spectrum objects, from charge exchange models check out Charge Exchange Spectra.

Generating a Spectrum from XSPEC or pyXspec

If you have XSPEC installed on your machine, you can use it with SOXS to create any spectral model that XSPEC supports. You can do this in three ways. The first is by passing in a model string and a list of parameters to the from_xspec_model() method:

model_string = "phabs*(mekal+powerlaw)" # A somewhat complicated model
params = [0.02, 6.0, 1.0, 0.3, 0.03, 1, 0.01, 1.2, 1.0e-3]
emin = 0.1
emax = 5.0
nbins = 20000
spec = Spectrum.from_xspec_model(model_string, params, emin, emax, nbins)

Note that the parameters must be in the same order that they would be if you were entering them in XSPEC. The parameters emin, emax, nbins, and binscale are used to control the binning.

The second way involves passing an XSPEC script file to the from_xspec_script() method which defines an XSPEC model. For example, a script that creates a model spectrum from a sum of two APEC models may look like this:

statistic chi
method leven 10 0.01
abund angr
xsect bcmc
cosmo 70 0 0.73
xset delta 0.01
systematic 0
model  apec    +   apec
            0.2       0.01      0.008      0.008         64         64
              1     -0.001          0          0          5          5
              0      -0.01     -0.999     -0.999         10         10
    6.82251e-07       0.01          0          0      1e+24      1e+24
          0.099       0.01      0.008      0.008         64         64
              1     -0.001          0          0          5          5
              0      -0.01     -0.999     -0.999         10         10
    1.12328e-06       0.01          0          0      1e+24      1e+24

If it is contained within the file "two_apec.xcm", it can be used to create a Spectrum like this:

emin = 0.1
emax = 5.0
nbins = 20000
spec = Spectrum.from_xspec_script("two_apec.xcm", emin, emax, nbins,
                                  binscale="log")

The parameters emin, emax, nbins, and binscale are used to control the binning.

For either from_xspec_model() or from_xspec_script(), you can pass a dictionary xspec_settings which will apply a number of XSPEC settings before generating the spectral models. For example, you can set the APECROOT and the APECTHERMAL variables in this way:

xspec_settings = {
    "APECROOT": "/path/to/apec",
    "APECTHERMAL": "",
}

spec = Spectrum.from_xspec_model(model_string, params, emin, emax, nbins,
                                 binscale="log", xspec_settings=xspec_settings)

Note that for settings that do not require values, one simply sets "" as the value in the dictionary.

The third way is to use pyXspec to generate a spectrum. This requires that pyXspec is installed as part of your HEASoft installation and is installed into the same Python environment as SOXS. If so, you can create an xspec.Model object in the usual way, and then pass it to the from_pyxspec_model() method:

import soxs
import xspec

# Set energy binning
xspec.AllData.dummyrsp(0.2, 2.0, 6000, "lin")

# Create a model
m = xspec.Model("phabs*(mekal+powerlaw)")

# Change some parameters
m.phabs.nH = 0.02
m.mekal.kT = 6.0
m.mekal.Abundanc = 0.3

# Get the spectrum
spec = soxs.Spectrum.from_pyxspec_model(m)

Note

Generating spectra from XSPEC or pyXspec requires that the HEADAS environment variable is defined within your shell before running the Python script or notebook, as it would be if you were using XSPEC/pyXspec to fit spectra. For example, for the zsh shell there should be a line like export HEADAS=${HOME}/heasoft-6.29/x86_64-apple-darwin21.1.0/ in your .zshrc file.

Generating a Spectrum from a SPEX Model

SPEX is an X-ray spectral fitting package that contains many spectral models that has a Python interface. It is possible to export any spectral model from SPEX into a SOXS :class:~`soxs.spectra.base.Spectrum` object using the from_spex_model() method.

from soxs import Spectrum
import pyspex

s = pyspex.spex.Session()
s.egrid(0.2, 10.0, 5000, "kev", False)
s.abun("aspl")

s.com("reds")
s.com("hot")
s.com("cie")
s.com_rel(1, 3, np.array([1, 2]))

s.dist(1, 0.05, "z")  # Set the distance in SPEX to z=0.05 (Luminosity).
s.par(1, 1, "z", 0.05, thawn=True)  # Set the redshift in the model to z=0.05 (Energy shift in spectrum).
s.par(1, 2, "nh", 2e-4)  # Set the hydrogen column density.
s.par_fix(1, 2, "t")  # Fix the temperature of the galactic absorption to the default value
s.par(1, 3, "norm", 1e8, thawn=True)  # Set a guess for the normalisation of the cluster component.
s.par(1, 3, "t", 4.0, thawn=True)  # Guess that the temperature is 4.0 keV.

s.calc()

spec = Spectrum.from_spex_model(s)

yielding:

../_images/spex.png

Math with Spectrum Objects

Two Spectrum objects can be co-added, provided that they have the same energy binning:

spec1 = Spectrum.from_powerlaw(1.1, 0.05, 1.0e-9, 0.1, 10.0, 10000)
spec2 = agen.get_spectrum(6.0, 0.3, 0.05, 1.0e-3)

total_spectrum = spec1 + spec2

If they do not, an error will be thrown.

Or they can be subtracted:

diff_spectrum = spec1-spec2

You can also multiply a spectrum by a constant float number or divide it by one:

spec3 = 6.0*spec2
spec4 = spec1/4.4

Attributes of Spectrum Objects

The Spectrum object has a number of unitful attributes which may be helpful for the end-user, which are shown here.

from soxs import Spectrum

spec = Spectrum.from_powerlaw(1.1, 0.05, 1.0e-9, 0.1, 10.0, 10000)

print(spec.ebins) # the energy bin edges
print()
print(spec.emid) # the energy bin centers
print()
print(spec.de) # the energy bin widths
print()
print(spec.flux) # the photon flux per energy bin
print()
print(spec.energy_flux) # the energy flux per energy bin
print()
[ 0.1      0.10099  0.10198 ...  9.99802  9.99901 10.     ] keV

[0.100495 0.101485 0.102475 ... 9.997525 9.998515 9.999505] keV

[0.00099 0.00099 0.00099 ... 0.00099 0.00099 0.00099] keV

[1.18667795e-08 1.17395035e-08 1.16148084e-08 ... 7.53026088e-11
 7.52944072e-11 7.52862073e-11] ph / (keV s cm2)

[1.91067895e-18 1.90880682e-18 1.90695468e-18 ... 1.20618220e-18
 1.20617026e-18 1.20615831e-18] erg / (keV s cm2)

There are also a number of per-wavelength or per-frequency versions of the above:

print(spec.wvbins) # the wavelength bin edges
print()
print(spec.wvmid) # the wavelength bin centers
print()
print(spec.dwv) # the wavelength bin widths
print()
print(spec.flux_per_wavelength) # the photon flux per wavelength bin
print()
print(spec.energy_flux_per_wavelength) # the energy flux per wavelength bin
print()
[123.98419843 122.76878744 121.57697434 ...   1.24008752   1.23996474
 1.23984198] Angstrom

[123.37649294 122.17288089 120.99252642 ...   1.24014892   1.24002613
 1.23990336] Angstrom

[1.21541100e+00 1.19181310e+00 1.16889584e+00 ... 1.22805138e-04
 1.22780820e-04 1.22756509e-04] Angstrom
print(spec.fbins) # the frequency bin edges
print()
print(spec.fmid) # the frequency bin centers
print()
print(spec.df) # the frequency bin widths
print()
print(spec.flux_per_frequency) # the photon flux per frequency bin
print()
print(spec.energy_flux_per_frequency) # the energy flux per frequency bin
print()
[2.41798924e+16 2.44192734e+16 2.46586543e+16 ... 2.41751048e+18
 2.41774986e+18 2.41798924e+18] Hz

[2.42995829e+16 2.45389638e+16 2.47783448e+16 ... 2.41739079e+18
 2.41763017e+18 2.41786955e+18] Hz

[2.39380935e+14 2.39380935e+14 2.39380935e+14 ... 2.39380935e+14
 2.39380935e+14 2.39380935e+14] Hz

[4.90770565e-26 4.85506854e-26 4.80349881e-26 ... 3.11426567e-28
 3.11392648e-28 3.11358735e-28] ph / (Hz s cm2)

[7.90193322e-36 7.89419073e-36 7.88653087e-36 ... 4.98836876e-36
 4.98831936e-36 4.98826997e-36] erg / (Hz s cm2)

Getting the Values and Total Flux or Luminosity of a Spectrum Within a Specific Energy Band

A new Spectrum object can be created from a restricted energy band of an existing one by calling the new_spec_from_band() method:

emin = 0.5
emax = 7.0
subspec = spec.new_spec_from_band(emin, emax)

The get_flux_in_band() method can be used to quickly report on the total flux within a specific energy band within the observer frame:

emin = 0.5
emax = 7.0
print(spec.get_flux_in_band(emin, emax))

which returns a tuple of the photon flux and the energy flux, showing:

(<Quantity 2.2215588675210208e-07 ph / (cm2 s)>,
 <Quantity 7.8742710307246895e-16 erg / (cm2 s)>)

The get_lum_in_band() method can also be used to quickly report on the total luminosity and count rate within a specific energy band, where in this case the band in question is the rest frame of the source. For this reason, either a redshift must be supplied, or for a local source a distance must be given.

emin = 0.5
emax = 7.0
print(spec.get_lum_in_band(emin, emax, redshift=0.05))

which returns a tuple of the photon count rate and the luminosity, showing:

(<Quantity 1.35081761e+48 ph / s>, <Quantity 4.78819407e+39 erg / s>)

You can change the cosmology as well by supplying a Cosmology object to cosmology (otherwise the Planck 2018 cosmology is assumed):

from astropy.cosmology import WMAP9
emin = 0.5
emax = 7.0
print(spec.get_lum_in_band(emin, emax, redshift=0.05, cosmology=WMAP9))

See the AstroPy cosmology documentation for more details.

You can supply a distance for a local source (redshift assumed zero) like this:

emin = 0.5
emax = 7.0
print(spec.get_lum_in_band(emin, emax, dist=(8.0, "kpc")))

Finally, Spectrum objects are “callable”, and if one supplies a single energy or array of energies, the values of the spectrum at these energies will be returned. AstroPy Quantity objects are detected and handled appropriately.

print(spec(3.0)) # energy assumed to be in keV
<Quantity 2.830468922349541e-10 ph / (cm2 keV s)>
from astropy.units import Quantity
# AstroPy quantity, units will be converted to keV internally
e = Quantity([1.6e-9, 3.2e-9, 8.0e-9], "erg")
print(spec(e)) # energy assumed to be in keV
<Quantity [  9.47745587e-10,  4.42138950e-10,  1.61370731e-10] ph / (cm2 keV s)>

Rescaling the Normalization of a Spectrum

You can rescale the normalization of the entire spectrum using the rescale_flux() method. This can be helpful when you want to set the normalization of the spectrum by the total flux within a certain energy band instead.

spec.rescale_flux(1.0e-9, emin=0.5, emax=7.0, flux_type="photons"):

emin and emax can be used to set the band that the flux corresponds to. If they are not set, they are assumed to be the bounds of the spectrum. The flux type can be "photons" (the default) or "energy". In the former case, the units of the new flux must be \({\rm photons}~{\rm cm}^{-2}~{\rm s}^{-1}\), and in the latter case the units must be \({\rm erg}~{\rm cm}^{-2}~{\rm s}^{-1}\).

Applying Galactic Foreground Absorption to a Spectrum

The apply_foreground_absorption() method can be used to apply foreground absorption using the "wabs" or "tbabs" models. It takes one required parameter, the hydrogen column along the line of sight, in units of \(10^{22}~{\rm cm}^{-2}\). Once can optionally specify which absorption model to use using the "model" parameter (default is "wabs"):

spec = Spectrum.from_powerlaw(1.1, 0.05, 1.0e-9, 0.1, 10.0, 10000)
n_H = 0.02
spec.apply_foreground_absorption(n_H, model="tbabs")

The flux in the energy bins will be reduced according to the absorption at a given energy. Optionally, to model absorption intrinsic to a source or from a source intermediate between us and the source, one can supply an optional redshift argument (default 0.0):

spec = Spectrum.from_powerlaw(1.1, 0.05, 1.0e-9, 0.1,
                              10.0, 10000)
n_H = 0.02
spec.apply_foreground_absorption(n_H, model="tbabs", redshift=0.05)

Finally, the abundance table for the "tbabs" absorption model can be specified (the default is "angr"):

spec = Spectrum.from_powerlaw(1.1, 0.05, 1.0e-9, 0.1,
                              10.0, 10000)
n_H = 0.02
spec.apply_foreground_absorption(n_H, model="tbabs", redshift=0.05,
                                 abund_table="wilm")

See Changing the Solar Abundance Table for options for different abundance tables.

The current version for the "tbabs" model is 2.3.2.

Adding Emission Lines to a Spectrum

The add_emission_line() method adds a single Gaussian emission line to an existing Spectrum object. The line energy, line width, and amplitude of the line (the line strength or integral under the curve) must be specified. The formula for the emission line is:

\[f(E) = \frac{A}{\sqrt{2\pi\sigma^2}}\exp{\left[-\frac{(E-E_0)^2}{2\sigma^2}\right]}\]

where \(E_0\) is the line center and the line width is

\[{\rm FWHM} = 2\sqrt{2\ln{2}}\sigma\]
spec = Spectrum.from_powerlaw(1.1, 0.05, 1.0e-9, 0.1,
                              10.0, 10000)
line_center = (6.0, "keV") # "E_0" above
line_width = (30.0, "eV") # "FWHM" above
line_amp = (1.0e-7, "photon/s/cm**2") # "A" above
spec.add_emission_line(line_center, line_width, line_amp)

The line width may also be specified in units of velocity, if that is more convenient:

spec = Spectrum.from_powerlaw(1.1, 0.05, 1.0e-9, 0.1,
                              10.0, 10000)
line_center = (6.0, "keV")
line_width = (200.0, "km/s")
line_amp = (1.0e-7, "photon/s/cm**2")
spec.add_emission_line(line_center, line_width, line_amp)

Currently, this functionality only supports emission lines with a Gaussian shape.

Adding Absorption Lines to a Spectrum

The add_absorption_line() method adds a single Gaussian absorption line to an existing Spectrum object. The line energy, line width, and equivalent width of the line must be specified. The formula for the absorption line is given in terms of the optical depth \(\tau(E)\):

\[\tau(E) = \frac{B}{\sqrt{2\pi\sigma^2}}\exp{\left[-\frac{(E-E_0)^2}{2\sigma^2}\right]}\]

where \(E_0\) is the line center and the line width is

\[{\rm FWHM} = 2\sqrt{2\ln{2}}\sigma\]

and the strength of the absorption \(B\) is

\[B = E_0^2\frac{\rm EW}{hc}\]

where \({\rm EW}\) is the equivalent width in angstroms. Then the unabsorbed spectrum \(f_0(E)\) is multiplied by the absorption like so to produce the absorbed spectrum \(f(E)\):

\[f(E) = e^{-\tau(E)}f_0(E)\]
spec = Spectrum.from_powerlaw(1.1, 0.05, 1.0e-9, 0.1,
                              10.0, 10000)
line_center = (1.0, "keV") # "E_0" above
line_width = (30.0, "eV") # "FWHM" above
equiv_width = 2 # defaults to units of milli-Angstroms
spec.add_absorption_line(line_center, line_width, equiv_width)

The line width may also be specified in units of velocity, if that is more convenient:

spec = Spectrum.from_powerlaw(1.1, 0.05, 1.0e-9, 0.1,
                              10.0, 10000)
line_center = (1.0, "keV")
line_width = (500.0, "km/s")
equiv_width = (3.0e-3, "Angstrom")
spec.add_absorption_line(line_center, line_width, equiv_width)

Currently, this functionality only supports absorption lines with a Gaussian shape.

Generating Photon Energies From a Spectrum

Given a Spectrum, a set of photon energies can be drawn from it using the generate_energies() method. This will most often be used to generate discrete samples for mock observations. For this method, an exposure time and a constant (energy-independent) effective area must be supplied to convert the spectrum’s flux to a number of photons. These values need not be realistic–in fact, they both should be larger than the values for the mock observation that you want to simulate, to create a statistically robust sample to draw photons from when we actually pass them to the instrument simulator.

An example using a Spectrum created from a file:

spec = Spectrum.from_file("my_spec.dat")
t_exp = (100., "ks") # exposure time
area = (3.0, "m**2") # constant effective area
energies = spec.generate_energies(t_exp, area)

The energies object generate_energies() returns is an augmented NumPy array which also carries the unit information and the total flux of energies:

print(energies.unit)
print(energies.flux)
Unit("keV")
<Quantity 1.1256362913845828e-15 erg / (cm2 s)>

Normally, generate_energies() will not need to be called by the end-user but will be used “under the hood” in the generation of a SimputPhotonList as part of a SimputCatalog. See Working with SIMPUT Catalogs for more information.

Count Rate Spectra

The CountRateSpectrum class is basically the same thing as a the Spectrum class, except that it is in units of \(\rm{counts}~\rm{s}^{-1}~\rm{keV}^{-1}\). This sort of spectrum makes the most sense in the rest frame of a source. You can create CountRateSpectrum objects from constant and power-law models

One important note about CountRateSpectrum objects is that you can call generate_energies() on them, except that unlike Spectrum objects it is not necessary to specify an area, but only an exposure time, to generate energies:

# here "spec" is a CountRateSpectrum object
t_exp = (100., "ks") # exposure time
energies = spec.generate_energies(t_exp)

Attributes of CountRateSpectrum Objects

Similar to the Spectrum class, the CountRateSpectrum object has a number of unitful attributes which may be helpful for the end-user, which are shown here.

from soxs import CountRateSpectrum

spec = CountRateSpectrum.from_powerlaw(1.1, 1.0e50, 0.1, 10.0, 10000)

print(spec.ebins) # the energy bin edges
print()
print(spec.emid) # the energy bin centers
print()
print(spec.de) # the energy bin widths
print()
print(spec.rate) # the photon rate per energy bin
print()
print(spec.luminosity) # the luminosity per energy bin
print()
[ 0.1      0.10099  0.10198 ...  9.99802  9.99901 10.     ] keV

[0.100495 0.101485 0.102475 ... 9.997525 9.998515 9.999505] keV

[0.00099 0.00099 0.00099 ... 0.00099 0.00099 0.00099] keV

[1.25210601e+51 1.23867667e+51 1.22551965e+51 ... 7.94544547e+48
 7.94458008e+48 7.94371488e+48] ph / (keV s)

[2.01602516e+41 2.01404982e+41 2.01209555e+41 ... 1.27268564e+41
 1.27267304e+41 1.27266044e+41] erg / (keV s)

There are also a number of per-wavelength or per-frequency versions of the above:

print(spec.wvbins) # the wavelength bin edges
print()
print(spec.wvmid) # the wavelength bin centers
print()
print(spec.dwv) # the wavelength bin widths
print()
print(spec.rate_per_wavelength) # the photon rate per wavelength bin
print()
print(spec.luminosity_per_wavelength) # the luminosity per wavelength bin
print()
[123.98419843 122.76878744 121.57697434 ...   1.24008752   1.23996474
   1.23984198] Angstrom

[123.37649294 122.17288089 120.99252642 ...   1.24014892   1.24002613
   1.23990336] Angstrom

[1.21541100e+00 1.19181310e+00 1.16889584e+00 ... 1.22805138e-04
 1.22780820e-04 1.22756509e-04] Angstrom

[1.01988953e+48 1.02892803e+48 1.03795772e+48 ... 6.40526215e+49
 6.40583300e+49 6.40640384e+49] ph / (Angstrom s)

[1.64213169e+38 1.67300504e+38 1.70415064e+38 ... 1.02598214e+42
 1.02617519e+42 1.02636825e+42] erg / (Angstrom s)
print(spec.fbins) # the frequency bin edges
print()
print(spec.fmid) # the frequency bin centers
print()
print(spec.df) # the frequency bin widths
print()
print(spec.rate_per_frequency) # the photon rate per frequency bin
print()
print(spec.luminosity_per_frequency) # the luminosity per frequency bin
print()
[2.41798924e+16 2.44192734e+16 2.46586543e+16 ... 2.41751048e+18
 2.41774986e+18 2.41798924e+18] Hz

[2.42995829e+16 2.45389638e+16 2.47783448e+16 ... 2.41739079e+18
 2.41763017e+18 2.41786955e+18] Hz

[2.39380935e+14 2.39380935e+14 2.39380935e+14 ... 2.39380935e+14
 2.39380935e+14 2.39380935e+14] Hz

[5.17829438e+33 5.12275510e+33 5.06834204e+33 ... 3.28597222e+31
 3.28561432e+31 3.28525650e+31] ph / (Hz s)

[8.33761014e+23 8.32944076e+23 8.32135858e+23 ... 5.26340489e+23
 5.26335277e+23 5.26330066e+23] erg / (Hz s)

Generating a CountRateSpectrum from a Spectrum, and Vice-Versa

Given any Spectrum object, one can derive a CountRateSpectrum object using the from_spectrum() method, which takes a Spectrum and either a redshift or a local distance dist as inputs:

# Using a redshift
redshift = 0.05
cr_spec = soxs.CountRateSpectrum.from_spectrum(spec, redshift=redshift)

# Using a local distance
dist = (10.0, "pc")
cr_spec = soxs.CountRateSpectrum.from_spectrum(spec, dist=dist)

Or, using the from_count_rate_spectrum() method, you can generate a Spectrum object from a CountRateSpectrum by performing the reverse operation:

# Using a redshift
redshift = 0.05
spec = soxs.Spectrum.from_count_rate_spectrum(cr_spec, redshift=redshift)

# Using a local distance
dist = (10.0, "pc")
spec = soxs.Spectrum.from_count_rate_spectrum(cr_spec, dist=dist)

For either of these methods, you can change the cosmology as well by supplying a Cosmology object to cosmology (otherwise the Planck 2018 cosmology is assumed):

from astropy.cosmology import WMAP9

redshift = 0.05

cr_spec = soxs.CountRateSpectrum.from_spectrum(spec, redshift=redshift,
                                               cosmology=WMAP9)

spec = soxs.Spectrum.from_count_rate_spectrum(cr_spec, redshift=redshift,
                                              cosmology=WMAP9)

Generating a CountRateSpectrum from XSTAR

XSTAR is a software package designed to compute the physical conditions and spectra of photoionized gases. SOXS provides the ability to incorporate models generated with XSTAR by reading them in from the standard XSTAR outputs as CountRateSpectrum objects, since the spectral outputs of XSTAR models are in the frame of the source.

Assuming one created an XSTAR model in the typical fashion, e.g.:

xstar cfrac=0. temperature=1 lcpres=1 pressure=0.03 density=1e10 \
spectrum='pow' trad=-0.9 rlrad38=1e8 column=1e23 rlogxi=0.2 \
abundtbl='xdef' modelname='quasar' ncn2=999999

This produces a file with spectra called “xout_spect1.fits”. Inside the file, the available spectra are “emit_outward”, “emit_inward”, “transmitted”, or “incident” (see the XSTAR documentation for more details on these). You can then read one of the spectra contained in the file using from_xstar_model():

import soxs
spec = soxs.CountRateSpectrum.from_xstar_model("xout_spect1.fits", "emit_outward")
spec.plot()

yielding:

../_images/xstar_example.png

“Convolved” Spectra

One may want to examine a spectrum after it has been convolved with a particular effective area curve. One can generate such a ConvolvedSpectrum using the convolve() method, feeding it a Spectrum object and an ARF:

from soxs import ConvolvedSpectrum
# Assuming one created an ApecGenerator agen...
spec2 = agen.get_spectrum(6.0, 0.3, 0.05, 1.0e-3)
cspec = ConvolvedSpectrum.convolve(spec2, "xrs_hdxi_3x10.arf")

The spectrum in this object has units of \({\rm photons}~{\rm s}^{-1}~{\rm keV}^{-1}\), and one can use many of CountRateSpectrum’s methods on it. For example, to determine the count and luminosity within a particular band:

cspec.get_lum_in_band(0.5, 7.0)
(<Quantity 6.802363401824924 ph / s>,
 <Quantity 1.2428592072628134e-08 erg / s>)

Or to generate an array of energies:

t_exp = (500.0, "ks")
e = cspec.generate_energies(t_exp)

If one has already loaded a AuxiliaryResponseFile, then one can also generate a ConvolvedSpectrum by simply multiplying the ARF by a Spectrum object:

from soxs import AuxiliaryResponseFile
arf = AuxiliaryResponseFile("xrs_hdxi_3x10.arf")
# Assuming one created an ApecGenerator agen...
spec2 = agen.get_spectrum(6.0, 0.3, 0.05, 1.0e-3)
cspec = spec2*arf

To “deconvolve” a ConvolvedSpectrum object and return a Spectrum object, simply call deconvolve():

spec_new = cspec.deconvolve()

Including an RMF in the Convolution

It is also possible to include an RMF in the convolution process. This will take the spectrum which has been convolved with the ARF and further convolve it with with the response matrix in the RMF. This will produce a spectrum with features that have been broadened by the energy resolution of the instrument. This may be useful for comparing model Spectrum objects to mock observations by forward-modeling them through the instrument responses. To do this, simply pass the name of the RMF file to convolve():

from soxs import ConvolvedSpectrum
# Assuming one created an ApecGenerator agen...
spec2 = agen.get_spectrum(6.0, 0.3, 0.05, 1.0e-3)
cspec = ConvolvedSpectrum.convolve(spec2, "xrs_hdxi_3x10.arf",
                                   rmf="xrs_hdxi.rmf")

Note

If one uses an RMF to convolve, the methods generate_energies() and deconvolve() are not available.

Plotting Spectra

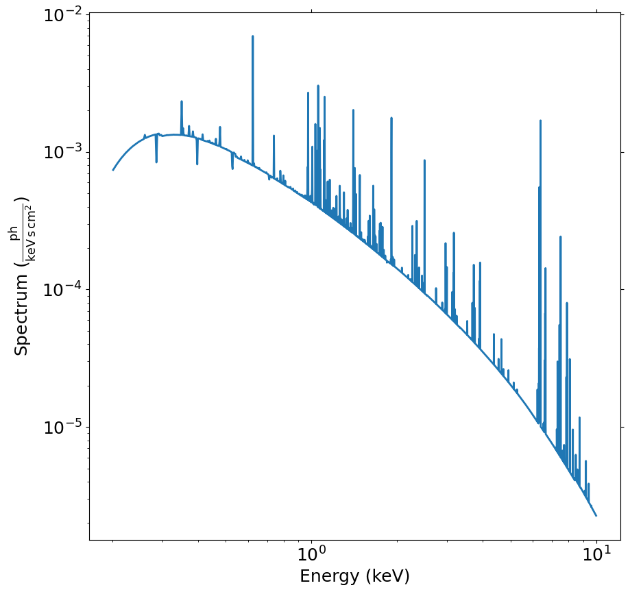
All Spectrum objects and their associated subclasses have a plot() method which can be used to make a Matplotlib plot. The plot() method has no required arguments, but has a number of optional arguments for plot customization. This method returns a tuple of the Figure and the Axes objects to allow for further customization. This example shows how to make a simple plot of an absorbed power-law spectrum:

spec = soxs.Spectrum.from_powerlaw(1.2, 0.02, 1.0e-3, 0.2, 9.0, 100000)
spec.apply_foreground_absorption(0.1)
fig, ax = spec.plot()
../_images/plot_powerlaw.png

Here’s another example of creating a plot of two thermal spectra with labels, zooming in on a section of it, and setting the energy scale to linear:

agen = soxs.ApecGenerator(0.1, 10.0, 10000)
spec1 = agen.get_spectrum(5.0, 0.3, 0.02, 1.0e-3)
spec2 = agen.get_spectrum(3.0, 0.3, 0.02, 1.0e-3)
fig, ax = spec1.plot(xmin=0.7, xmax=1.5, ymin=1.0e-4, ymax=3.0e-3,
                     xscale='linear', label="5 keV plasma")
spec2.plot(fig=fig, ax=ax, label="3 keV plasma")
../_images/plot_two_spectra.png

For other customizations, consult the plot() API.

Writing a Spectrum to Disk

Spectrum objects can be written to disk in three formats: an ASCII text file in the ECSV format, a FITS file, or an HDF5 file. To write a spectrum to an ASCII ECSV file, use the write_ascii_file() method:

agen = soxs.ApecGenerator(0.1, 10.0, 10000)
spec1 = agen.get_spectrum(5.0, 0.3, 0.02, 1.0e-3)
spec1.write_ascii_file("my_spec.ecsv", overwrite=True)

To write a spectrum to an HDF5 file, use write_hdf5_file():

agen = soxs.ApecGenerator(0.1, 10.0, 10000)
spec1 = agen.get_spectrum(5.0, 0.3, 0.02, 1.0e-3)
spec1.write_hdf5_file("my_spec.h5", overwrite=True)

To write a spectrum to a FITS file, use write_fits_file():

agen = soxs.ApecGenerator(0.1, 10.0, 10000)
spec1 = agen.get_spectrum(5.0, 0.3, 0.02, 1.0e-3)
spec1.write_fits_file("my_spec.fits", overwrite=True)

In each case, the minimum and maximum energies for each bin in the table, the flux in each bin (as well as its units), and the bin scaling (linear or log) is written to the file. If writing a ConvolvedSpectrum object, the name of the ARF which was used to do the convolution is also stored.

Reading a Spectrum from Disk

Spectrum objects written using any of the writing methods detailed above (ASCII ECSV, HDF5, or FITS) can be the spectrum can be read back in again in, using from_file():

from soxs import Spectrum
my_spec = Spectrum.from_file("my_spec.ecsv")

Special I/O for Convolved Spectra

ConvolvedSpectrum objects can be written directly to PI/PHA files using the same standard format that is used for real spectra, with the to_pha_file() method:

from soxs import ConvolvedSpectrum
# Assuming one created an ApecGenerator agen...
spec2 = agen.get_spectrum(6.0, 0.3, 0.05, 1.0e-3)
cspec = ConvolvedSpectrum.convolve(spec2, "xrs_hdxi_3x10.arf")
cspec.to_pha_file("my_spec.pi", overwrite=True)

Conversely, PI/PHA files produced can be read in as ConvolvedSpectrum objects:

import soxs
cspec = soxs.ConvolvedSpectrum.from_pha_file("my_spec.pi")