Oct 1st, 2009| 09:11 pm | Posted by hlee
So far, I didn’t complain much related to my “statistician learning astronomy” experience. Instead, I’ve been trying to emphasize how fascinating it is. I hope that more statisticians can join this adventure when statisticians’ insights are on demand more than ever. However, this positivity seems not working so far. In two years of this slog’s life, there’s no posting by a statistician, except one about BEHR. Statisticians are busy and well distracted by other fields with more tangible data sets. Or compared to other fields, too many obstacles and too high barriers exist in astronomy for statisticians to participate. I’d like to talk about these challenges from my ends.[] Continue reading ‘data analysis system and its documentation’ »
Tags:
ARF,
calibration,
ciao,
cultural shock,
data analysis system,
documentation,
FITS,
obstacles,
pha,
PSF,
RMF,
Sherpa,
standard procedure,
Tutorial,
unification,
validation,
XSPEC Category:
Astro,
Cross-Cultural,
Data Processing,
High-Energy,
Misc,
Quotes,
X-ray |
Comment
Jun 12th, 2009| 03:47 pm | Posted by hlee
A Fast Thresholded Landweber Algorithm for Wavelet-Regularized Multidimensional Deconvolution
Vonesch and Unser (2008)
IEEE Trans. Image Proc. vol. 17(4), pp. 539-549
Quoting the authors, I also like to say that the recovery of the original image from the observed is an ill-posed problem. They traced the efforts of wavelet regularization in deconvolution back to a few relatively recent publications by astronomers. Therefore, I guess the topic and algorithm of this paper could drag some attentions from astronomers. Continue reading ‘Wavelet-regularized image deconvolution’ »
Tags:
bound optimization,
deconvolution,
image processing,
impulse response,
MM algorithm,
PSF,
regularization,
restoration,
thresholding,
wavelet Category:
Algorithms,
arXiv,
Data Processing,
Fitting,
Imaging,
Jargon,
Methods,
Quotes,
Stat |
Comment
Jun 4th, 2008| 01:00 pm | Posted by vlk
X-ray telescopes generally work by reflecting photons at grazing incidence. As you can imagine, even small imperfections in the mirror polishing will show up as huge roadbumps to the incoming photons, and the higher their energy, the easier it is for them to scatter off their prescribed path. So X-ray telescopes tend to have sharp peaks and fat tails compared to the much more well-behaved normal-incidence telescopes, whose PSFs (Point Spread Functions) can be better approximated as Gaussians.
X-ray telescopes usually also have gratings that can be inserted into the light path, so that photons of different energies get dispersed by different angles, and whose actual energies can then be inferred accurately by measuring how far away on the detector they ended up. The accuracy of the inference is usually limited by the width of the PSF. Thus, a major contributor to the LRF (Line Response Function) is the aforementioned scattering.
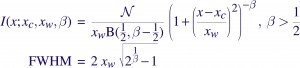
A correct accounting of the spread of photons of course requires a full-fledged response matrix (RMF), but as it turns out, the line profiles can be fairly well approximated with Beta profiles, which are simply Lorentzians modified by taking them to the power β –

where B(1/2,β-1/2) is the Beta function, and N is a normalization constant defined such that integrating the Beta profile over the real line gives the area under the curve as N. The parameter β controls the sharpness of the function — the higher the β, the peakier it gets, and the more of it that gets pushed into the wings. Chandra LRFs are usually well-modeled with β~2.5, and XMM/RGS appears to require Lorentzians, β~1.
The form of the Lorentzian may also be familiar to people as the Cauchy Distribution, which you get for example when the ratio is taken of two quantities distributed as zero-centered Gaussians. Note that the mean and variance are undefined for that distribution.
Tags:
beta profile,
Chandra,
EotW,
Equation,
Equation of the Week,
Line Response Function,
Lorentzian,
LRF,
point spread function,
PSF,
response matrix,
RMF,
XMM Category:
Astro,
Jargon,
Misc |
1 Comment
May 2nd, 2008| 06:06 pm | Posted by vlk
Starting a new feature — highlighting some equation that is widely used in astrophysics or astrostatistics. Today’s featured equation: what instruments do to incident photons. Continue reading ‘Equation of the Week: Confronting data with model’ »
Tags:
ARF,
effective area,
EotW,
Equation,
Equation of the Week,
LRF,
point spread function,
PSF,
response matrix,
RMF,
source Category:
Astro,
Jargon |
Comment
Dec 7th, 2007| 03:15 pm | Posted by hlee
There’s only one day in the first week of December with no preprint appearance. Dubbing the week of Dec. 2nd as the first week is hoped to be accepted. Continue reading ‘[ArXiv] 1st week, Dec. 2007’ »
Oct 19th, 2007| 12:51 pm | Posted by hlee
Quite interesting papers were up at arXiv, including a theoretical statistics paper that no astronomer manages to miss. To find the paper and others, please click
Continue reading ‘[ArXiv] 3rd week, Oct. 2007’ »